MP BOARD 2026 – कक्षा 12 रसायनशास्त्र महत्वपूर्ण प्रश्न -उत्तर
माध्यमिक शिक्षा मंडल 2026 कक्षा 12 के रसायन शास्त्र विषय के महत्वपूर्ण प्रश्नों को इस पोस्ट में शामिल किया गया है यह महत्वपूर्ण प्रश्न गत वर्षो की परीक्षा में भी पूछे गए हैं इसके साथ ही पोस्ट के अंत में आप वर्ष 2026 की परीक्षा हेतु उपयोगी वस्तुनिष्ठ प्रश्न आधारित सेल्फ टेस्ट भी हल कर सकेंगे

MP BOARD 2026- वस्तुनिष्ठ प्रश्न आधारित सेल्फ टेस्ट – केमिस्ट्री कक्षा 12
Note – अंग्रेजी माध्यम के लिए देखें – https://mpboardenglishmedium.com/
प्रश्न – मोल अंश की परिभाषा लिखिए
उत्तर – विलियन में उपस्थित किसी एक घटक ( विलेय /विलायक ) के मोलों की संख्या तथा विलियन में उपस्थित कुल मोलो की संख्या के अनुपात को मोल अंश या मोल प्रभाज कहते हैं

प्रश्न -विलियन की परिभाषा लिखिए
उत्तर – विलियन दो या दो से अधिक शुद्ध पदार्थ का समांगी मिश्रण होता है जिसके संगठन को एक निश्चित सीमा तक परिवर्तित किया जा सकता है
प्रश्न -फैराडे के विद्युत अपघटन का प्रथम नियम लिखिए
उत्तर – फैराडे के विद्युत अपघटन का प्रथम नियम- विद्युत अपघटन की क्रिया में किसी इलेक्ट्रोड पर मुक्त होने वाले पदार्थ की मात्रा उसमें प्रवाहित विद्युत की मात्रा के समानुपाती होती है

प्रश्न -लवण सेतु के दो कार्य लिखिए
उत्तर -i दो दो अर्द्ध सेलों को जोड़ने का कार्य करता है
ii विद्युत उदासीनता बनाए रखना है
प्रश्न- अभिक्रिया की आण्विकता तथा अभिक्रिया की कोटि में कोई दो अंतर लिखिए
उत्तर –
| अभिक्रिया की आण्विकता | अभिक्रिया की कोटि |
| i यह एक सैद्धांतिक पद है | i यह एक प्रायोगिक पद है |
| ii इसका मान्य शून्य नहीं होता है | ii इसका मान शून्य हो सकता है |
प्रश्न- अभिक्रिया की दर और स्थिरांक में कोई दो अंतर लिखिए
उत्तर –

प्रश्न- निम्नलिखित उपसंयोजक यौगिको के IUPAC नाम लिखिए

उत्तर –

प्रश्न- केंद्रीय धातु की ऑक्सीकरण संख्या की उदाहरण सहित परिभाषा लिखिए
उत्तर –

प्रश्न- उप सह संयोजी संख्या की परिभाषा उदाहरण सहित लिखिए
उत्तर – उपसहसंयोजक यौगिक में केंद्रीय परमाणु से जुड़े हुए लिगेंड़ो की संख्या को उपसहसंयोजक संख्या कहते है

प्रश्न- हाइद्रेट समावयवता की परिभाषा उदाहरण सहित लिखिए
उत्तर –

प्रश्न- इटार्ड अभिक्रिया को रासायनिक समीकरण सहित लिखिये
उत्तर –

प्रश्न- कार्बाॅक्सीलिक अम्ल के कोई दो उपयोग लिखिए
उत्तर – कार्बाॅक्सीलिक अम्ल के उपयोग
i . मेथानॉइसी अम्ल का रबर, वस्त्र रंगाई, चमड़ा एवं इलेक्ट्रोप्लेटिंग उद्योगों में उपयोग किया जाता है
ii एसिटिक अम्ल का उपयोग सिरका के रूप में खाद्य पदार्थों में किया जाता है
प्रश्न निम्नलिखित परिवर्तन के लिए केवल रासायनिक समीकरण लिखिए

उत्तर –

प्रश्न – एथिल अमीन अमोनिया से अधिक क्षारीय होता है कारण लिखिए
उत्तर – एथिल एमीन में एक एथिल समूह होता है जिसके +I प्रेरणा प्रभाव के कारण नाइट्रोजन परमाणु पर एकांकी इलेक्ट्रॉन की उपलब्धता बढ़ जाती है जो एथिल अमीन के क्षारीय गुण को बढ़ा देता है जबकि अमोनिया में ऐसा कोई समूह नहीं पाया जाता है
प्रश्न रेशेदार तथा गोलाकार प्रोटीन में कोई दो अंतर लिखिए
उत्तर –

प्रश्न- डीएनए तथा आर एन ए में कोई दो अंतर लिखिए
उत्तर –

प्रश्न- किसी ताप पर शुद्ध बेंजीन का वाष्पदाब 0.850 बार है I 0.5 ग्राम अवाष्पशील विद्युत अनपघट्य ठोस को 39.0 ग्राम बेंजीन में घोला जाता है तब प्राप्त बिलियन का वाष्पदाब 0.084 5 बार होता है ठोस का मोलर द्रव्यमान क्या है ?
उत्तर –

प्रश्न- एक साँस पैन में 18 ग्राम ग्लूकोस को 1 किलोग्राम जल में घोला गया है 1.013 बार दाब पर यह जल किस ताप पर उबलेगा जल के लिए Kb का मन 0.52 K Kg mol^-1 है
उत्तर –

प्रश्न- प्रथम कोटि तथा द्वितीय कोटि की अभिक्रिया के लिए दर स्थिरांक की इकाई लिखिए
उत्तर –

प्रश्न- निम्नलिखित को परिभाषित कर लिखिए i दर निर्धारक पद ii अभिक्रिया की कोटि
उत्तर -i दर निर्धारक पद – अभिक्रिया का वह पद जो सबसे धीमी गति से संपन्न होता है दर निर्धारक पद कहलाता है
ii अभिक्रिया की कोटि – अभिक्रिया की कोटि उन समस्त घातों का योग है जिन्हें अभिक्रिया की दर को दर्शाने के लिए दर समीकरण में सांद्रण पदों पर लगाया जाना चाहिए
प्रश्न- d तथा f ब्लाक के तत्वों में कोई तीन अंतर लिखिए I
उत्तर –

प्रश्न- लैंथेनाइड तथा एक्टिनाइड में कोई तीन अंतर लिखिए
उत्तर –

प्रश्न- निम्नलिखित अभिक्रियावों के केवल रासायनिक समीकरण लिखिए
उत्तर –

I एल्किल हैलाइड की क्रिया सोडियम एल्कोक्साइड से कराते हैं
उत्तर –

Ii फीनोल को जिंक चूर्ण के साथ गर्म करते हैं
उत्तर –

Iii एथिल एल्कोहल की क्रिया H2SO4 से 413 K पर कराते हैं I
उत्तर –

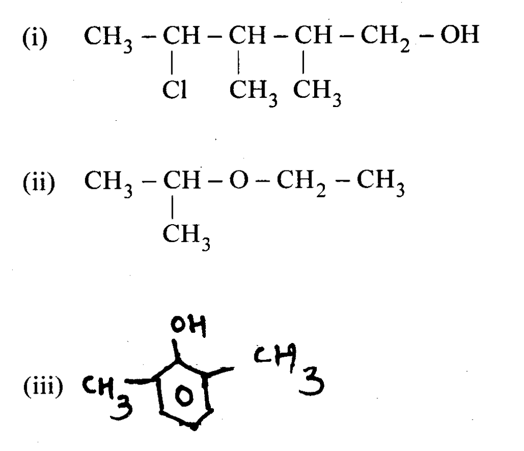
प्रश्न- निम्नलिखित यौगिकों की संरचना लिखिए –
उत्तर –
i. 4 क्लोरो 2, 3 डाई मैथिल पेंटेंन 1 आल ii. 2 एथाक्सी प्रोपेन iii. 2, 6 डाई मैथिल फीनोल
उत्तर –

प्रश्न- SN1 व् SN2 अभिक्रिया की क्रियाविधि लिखिए
उत्तर –

प्रश्न- निम्नलिखित अभिक्रियावों को रासायनिक समीकरण सहित लिखिए –
i. सेंड मेयर अभिक्रिया ii फिटिंग अभिक्रिया
उत्तर –

प्रश्न- विद्युत रासायनिक सेल का नामांकित चित्र, संरचना एवं रासायनिक अभिक्रिया का समीकरण लिखिए
उत्तर –

प्रश्न – नर्नस्ट समीकरण की व्यत्पत्ति लिखिए I
उत्तर –

प्रश्न – CH3COOH से निम्नलिखित कैसे प्राप्त करोगे ? रासायनिक समीकरण लिखिए
I. एसीटिक एनहाइड्राइड ii एथिल एसीटेट iii एसीटाइल क्लोराइड iv एसिटएमाइड v. एथिल एल्कोहल
उत्तर –

प्रश्न – निम्नलिखित अभिक्रियावों को पूर्ण करके लिखिए –

उत्तर –


प्रश्न – प्रतिरोधकता की परिभाषा लिखिए
उत्तर –

प्रश्न – विशिष्ट चालकता की परिभाषा लिखिए

प्रश्न – रासायनिक अभिक्रिया की दर की परिभाषा लिखिए

प्रश्न – रासायनिक अभिक्रिया की आणविकता लिखिए

प्रश्न – संक्रमण धातु में परिवर्तित ऑक्सीकरण संख्या में प्रदर्शित करती हैं क्यों कारण लिखिए

प्रश्न – संक्रमण धातु में रंगीन आयन बनाती हैं क्यों कारण लिखिए

प्रश्न – निम्नलिखित संकुल यौगिक के IUPAC

नाम लिखिए
उत्तर –

प्रश्न – निम्नलिखित उपसहसंयोजक यौगिकों के IUPAC सूत्र लिखिए

उत्तर –

प्रश्न – संकुल आयन या जटिल आयन की परिभाषा लिखिए

प्रश्न – आयनन समावयवता को उदाहरण सहित लिखिए

प्रश्न – डीडीटी के कोई दो उपयोग लिखिए

प्रश्न – कार्बन टेट्राक्लोराइड के कोई दो उपयोग लिखिए

प्रश्न – अल्काईल हेलाइड का अमीनो अपघटन रासायनिक समीकरण सहित लिखिए

प्रश्न – डाईजोनियम लवणों की युग्मन अभिक्रिया को रासायनिक समीकरण सहित लिखिए

प्रश्न – लिखिए की प्रथम कोटि की अभिक्रिया में 99% अभिक्रिया के पूर्ण होने में लगा समय 90% अभिक्रिया पूर्ण होने में लगने वाले समय से दुगना होता है


प्रश्न – व्यंजक लिखिए कि शून्य कोटि रासायनिक अभिक्रिया के लिए अर्ध आयु काल का मन अभिकारक की प्रारंभिक सांद्रता के समानुपाती होता है

प्रश्न – डी ब्लॉक के तत्वों को परिभाषित कीजिए तथा उनकी कोई दो विशेषताएं लिखिए

प्रश्न – एफ ब्लॉक के तत्वों को परिभाषित कीजिए तथा उनकी कोई दो विशेषताएं लिखिए

प्रश्न – निम्नलिखित रासायनिक अभिक्रिया को रासायनिक समीकरण सहित लिखिए
फीनोल की सोडियम से क्रिया
रीमर टीमन अभिक्रिया
उत्तर –


प्रश्न – निम्नलिखित परिवर्तन के लिए रासायनिक समीकरण लिखिए
प्रोपेन से प्रोपेन 2 ऑल
बेंजाइल क्लोराइड से बेंजाइल एल्कोहल
उत्तर –

प्रश्न – एंजाइम की परिभाषा उदाहरण सहित लिखिए

प्रश्न – आवश्यक एवं अनावश्यक अमीनो अम्ल की उदाहरण सहित परिभाषा लिखिए

प्रश्न – परासरण दाब को परिभाषित कीजिए एवं इसके आधार पर विलय के अनुभव निर्धारण के लिए गणितीय व्यंजक की उत्पत्ति कीजिए


प्रश्न – हिमांक में अब नमन को परिभाषित कीजिए एवं इसके आधार पर विलय के अनुभव निर्धारण के लिए गणितीय व्यंजक की उत्पत्ति कीजिए
उत्तर –


प्रश्न – कोलराश के नियम एवं इसके कोई दो अनुप्रयोग को लिखिए


प्रश्न – गैल्वेनी सेल एवं विद्युत अपघटनी सेल में कोई चार अंतर लिखिए

प्रश्न – निम्नलिखित अभिक्रिया को रासायनिक समीकरण सहित लिखिए
क्लोरोफॉर्म का ऑक्सीकरण
बुर्ज फिटिंग अभिक्रिया
उत्तर –

प्रश्न – निम्नलिखित अभिक्रिया को रासायनिक समीकरण सहित लिखिए
कैनिजारो अभिक्रिया
रोजन मुंड अभिक्रिया
उत्तर –

प्रश्न – क्या होता है जब . (रासायनिक समीकरण सहित लिखिए)
बेंजीन की एसिटिल क्लोराइड के साथ निर्जल अल्युमिनियम क्लोराइड उत्प्रेरक की उपस्थिति में क्रिया कराई जाती है
बेंजीन को कार्बन मोनोऑक्साइड एवं हाइड्रोजन क्लोराइड गैस के साथ निर्जल अल्युमिनियम क्लोराइड उत्प्रेरक की उपस्थिति में गर्म किया जाता है
उत्तर –

प्रश्न – निम्नलिखित अभिक्रियावों को पूर्ण कीजिये –

उत्तर –

आपके लिए यह भी उपयोगी हो सकता है –
MP BOARD 2026- वस्तुनिष्ठ प्रश्न आधारित सेल्फ टेस्ट – केमिस्ट्री कक्षा 12







