MP BOARD 2026 – कक्षा 12 भौतिकशास्त्र विषय के महत्वपूर्ण प्रश्न उत्तर सहित I यह प्रश्न गत वर्षों की वार्षिक परीक्षावों में पूंछे गए हैं I पोस्ट के अंत में वस्तुनिष्ठ प्रश्न आधारित self टेस्ट दिया गया हैं .

अंग्रेजी माध्यम के विद्यार्थी देखें – https://mpboardenglishmedium.com/
MP BOARD 2026
- मूल आवेश किसे कहते हैं। इसका मान कितना होता है।
उतर – एक इलेक्ट्रॉन के आवेश को मूल आवेश कहते हैं।
मान: 1.6 × 10-19 С.
- एक इलेक्ट्रॉन विद्युत क्षेत्र में उच्च विभव की ओर गति करेगा या निम्न विभव की ओर ? क्यों l
उतर – उच्च विभव की ओर क्योंकि इलेक्ट्रान विद्युत क्षेत्र की विपरीत दिशा में बल का अनुभव करता है।
- विद्युत सेल किसे कहते है? उदाहरण दीजिए।
उतर – जो रासायनिक ऊर्जा को विद्युत ऊर्जा में परिवर्तित करता है।
उदाहरण: डेनियल सेल, लेग्नांशी सेल
- ओम का नियम लिखों। एवं धारा, विभवान्तर के मध्य ग्राफ बनाइए।
उतर – किसी तार की भौतिक परिस्थितियों में परिवर्तन न किया जाए तो उसके सिरों में लगाया गया विभवान्तर प्रवाहित धारा के अनुक्रमानुपाती होता है।

प्रश्न – सदिश रूप में बायो सेवर्ट व्यंजक लिखिए।

- चुम्बकीय क्षेत्र रेखाओं के प्रारंभिक तथा अंतिम सिरे नहीं होते, क्यों?
उतर – चुम्बकीय क्षेत्र रेखाएँ बंद वक्र बनाती है।
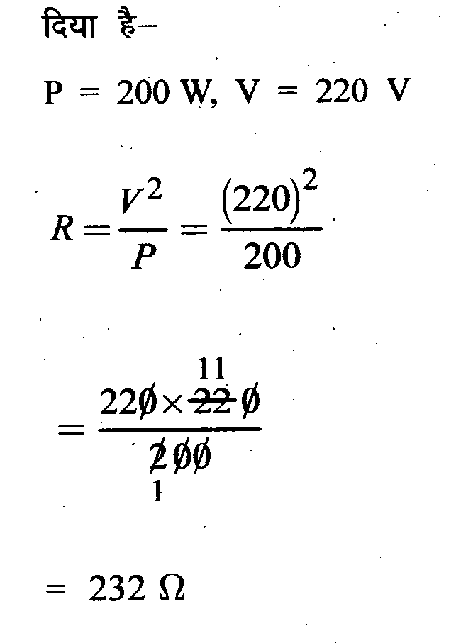
प्रश्न – एक विद्युत बल्ब 220 V आपूर्ति पर 200 W शक्ति देने के लिए बनाया गया है। बल्ब का प्रतिरोध ज्ञात कीजिए।

प्रश्न – एक विद्युत बल्ब 220 V आपूर्ति पर 200 W शक्ति देने के लिये बनाया गया है। बल्ब में प्रवाहित होने वाली rms धारा ज्ञात कीजिए।

- संयुग्मी फोकस किसे कहते हैं?
उतर – मुख्य अक्ष पर स्थिति दो बिन्दु जिनमें से पहले स्थान पर वस्तु रखने पर दूसरे स्थान पर प्रतिबिंब बने और दूसरे स्थान पर वस्तु रखने पर पहले स्थान पर प्रतिबिंब बने ऐसे बिन्दु संयुग्मी फोकस कहलाते हैं।
- अपवर्ती दूरदर्शी एवं परावर्ती दूरदर्शी में दो अंतर लिखिए।
उतर – अपवर्ती दूरदर्शी परावर्ती दूरदर्शी
(i) गोलीय विपथन होता है। (i) गोलीय विपथन नहीं होता
(ii) प्रतिबिंब कम चमकीला होता है। (ii) प्रतिबिंब अधिक चमकीला होता है।
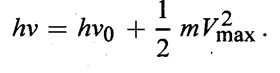
- प्रकाश विद्युत प्रभाव क्या होता है? आइन्स्टीन का प्रकाश विद्युत समीकरण लिखिए।
उतर – जब धातु की सतह पर एक निश्चित आवृत्ति से अधिक आवृत्ति का प्रकाश आपतित होता है। तो सतह से प्रकाश इलेक्ट्रॉन उत्सर्जित होते हैं।

- डी ब्राग्ली द्रव्य तरंगे क्या है? डी ब्राग्ली तरंग समीकरण लिखिए।
उतर – प्रत्येक गतिमान कण से एक तरंग संबंध होती है जिसे द्रव्य तरंग कहते हैं।

- बोर मॉडल की कोई दो परिकल्पनाएँ लिखिए।
उतर – (i) इलेक्ट्रॉन नाभिक के चारों ओर किसी भी कक्षा में न घूमकर कुछ विशिष्ट कक्षाओं में ही घूम सकता है।
(ii) इलेक्ट्रॉन केवल उन्हीं कक्षाओं में घूम सकता है जिनमें उनका कोणीय संवेग

का पूर्ण गुणज होता है।
प्रश्न – परमाणु के नाभकीय मॉडल की खोज किसने की? चित्र बनाइए।

- समस्थानिक किसे कहते हैं? हाइड्रोजन के कोई दो समस्थानिकों लिखिए।
उतर – समस्थानिक : एक ही तत्व के ऐसे परमाणु जिनके नाभिकों में प्रोटॉनों की संख्या समान तथा न्यूट्रॉनों की संख्या अलग-अलग होती है।

प्रश्न – समभारिक किसे कहते हैं? उदाहरण दीजिए।


- विधुत क्षेत्र रेखाओ की दो विशेषताए लिखिये |
उतर –
(1) विद्युत क्षेत्र रेखाएँ धन आवेश से निकलकर ऋण आवेश में प्रवेश करती है।
(2) दो विद्युत क्षेत्र रेखाएँ एक दूसरे को कभी नहीं काटती हैं।
- समविभव प्रस्थ की दो विशेषताए लिखिय |
उतर –
(1) समविभव पृष्ठ के प्रत्येक बिंदु पर विद्युत विभव का मान समान होता है।
(2) किसी विद्युत आवेश को समविभव पृष्ठ के एक बिंदु से दूसरे बिंदु तक ले जाने में किया गया कार्य शून्य होता है।
(उपरोक्त के अतिरिक्त अन्य सही विशेषताएँ लिखे जाने पर भी अंक प्रदान किये जाएँ)
- स्वप्रेरण व अन्योन्य प्रेरण में दो अंतर लिखिए।
उतर – स्वप्रेरण अन्योन्य प्रेरण
(1) किसी एकल वियुक्त कुंडली (1) किसी एक कुंडली में धारा
में फ्लक्स परिवर्तन के कारण परिवर्तन होने से दूसरी कुंडली में हुए
उसी कुंडली में वि.वा.बल प्रेरित फलक्स परिवर्तन के कारण दूसरी कुंडली
होने की घटना स्वप्रेरण है। में वि.वा.बल प्रेरित होने की घटना अन्योन्य प्रेरण है।
(2) प्रेरित धारा मुख्य धारा को (2) प्रेरित धारा मुख्य धारा को
प्रभावित करती है। प्रभावित नहीं करती है।
- उच्चायी ट्रांसफार्मर व अपचायी ट्रांसफार्मर में दो अंतर लिखिए।
उतर – उच्चायी ट्रांसफार्मर अपचायी ट्रांसफार्मर
(1) निर्गत वोल्टता का मान निवेशी निर्गत वोल्टता का मान निवेशी
वोल्टता के मान से अधिक होता है। वोल्टता के मान से कम होता है।
(2) द्वितीयक कुंडली में प्राथमिक द्वितीयक कुंडली में प्राथमिक
कुंडली से अधिक फेरे होते हैं। कुंडली से कम फेरे होते हैं।
(उपरोक्त के अतिरिक्त अन्य सही
अंतर लिखने पर भी अंक प्रदान किये जाएँ)
- ऐम्पियर के परिपथीय नियम का कथन एवं गणितीय रूप लिखिए।

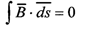
- चुम्बकत्व के लिए गाऊस के नियम का कथन एवं गणितीय रूप लिखिए।
उतर – किसी भी बंद पृष्ठ से गुजरने वाला कुल चुंबकीय फलक्स का मान हमेशा शून्य होता है।

- किन तरंगों को ऊष्मा तरंगे भी कहा जाता है? इन तरंगों की पृथ्वी पर माध्य ताप बनाए रखने से संबंधित किस प्रभाव में अहम भूमिका होती है ?
उतर – अवरक्त तरंगे।
हरित गृह प्रभाव।
- सबसे अधिक आवृत्ति वाली विद्युत चुम्बकीय तरंग का नाम एवं एक उपयोग लिखिए।
उतर – गामा तरंग।
उपयोग:- चिकित्सा में कैंसर कोशिकाओं को नष्ट करना।
- अवतल दर्पण के परावर्तक पृष्ठ के नीचे का आधा भाग किसी अपारदर्शी पदार्थ से ढक देने पर दर्पण के सामने स्थित किसी बस्तु के दर्पण द्वारा बने प्रतिबिंब पर क्या प्रभाव होगा? लिखिए।
उतर – वस्तु का प्रतिबिंब पूर्ण आकार का ही रहेगा
किंतु उसकी तीव्रता आधी हो जाएगी।
- एक प्रकाश की किरण प्रकाशिक विरल माध्यम से प्रकाशिक सघन माध्यम में तिर्यक प्रवेश करती है तो प्रकाश की किरण के वेग और आवृत्ति पर क्या प्रभाव पड़ेगा? लिखिए।
उतर – अपवर्तित किरण का वेग कम हो जाएगा तथा
उसकी आवृत्ति अपरिवर्तित रहेगी।
- अल्फा कण प्रकीर्णन प्रयोग से प्राप्त दो निष्कर्ष लिखिए।
उतर – (1) परमाणु का अधिकतर भाग खाली है तथा उसका अधिकांश द्रव्यमान परमाणु के छोटे से आयतन में संकेन्द्रित होता है जिसे नाभिक कहते हैं।
(2) परमाणु का कुल धनावेश नाभिक में होता है तथा इलेक्ट्रान नाभिक के चारों ओर कक्षा में चक्कर लगाते हैं।
- नाभिकीय बलों की दो विशेषताएँ लिखिए।
उतर – (1) नाभिकीय बल स्थिर वैद्युत बलों व गुरुत्वाकर्षण बल की तुलना में अत्यधिक शक्तिशाली होता है।
(2) नाभिकीय बल विद्युत आवेशों की प्रकृति पर निर्भर नहीं करते हैं।
प्रश्न – p-n संधि डायोड की अग्र अभिनति के विद्युत परिपथ का नामांकित आरेख बनाइए

प्रश्न – अर्धतरंग दिष्टकारी का नामांकित परिपथ आरेख बनाइए

प्रश्न – गॉस नियम द्वारा कूलॉम के स्थिर विद्युत व्युत्क्रमवर्ग के नियम को निगमित कीजिए

- किसी चालक की धारिता से क्या तात्पर्य है। चालक की धारिता को प्रभावित करने वाले कारक लिखिए।
उतर – किसी चालक की धारिता आवेश की उस मात्रा के बराबर होती है। जो उस चालक के विभव में एकांक परिवर्तन कर दें
C = Q /V
कारक:-
(i) चालक के आकार बढ़ाने से घारिता बढ़ जाती है क्योंकि विभव घटता है।
(ii) चालक के पास अन्य कोई चालक होने पर चालक की घारिता बढ़ जाती है क्योंकि विभव घट जाता है।
- विद्युत वाहक बल एवं विभवान्तर में कोई तीन अंतर लिखिए।
उतर – विद्युत वाहक बल विभवान्तर
(i) एकांक आवेश को पूरे परिपथ में (i) एकांक आवेश को केवल बाह्य परिपथ
प्रवाहित करने में सेल द्वारा किये में प्रवाहित करने में सेल द्वारा किये
गये कार्य के बराबर होता है। गये कार्य के बराबर होता है।
(ii) विद्युत अपघट्ध की मात्रा (ii) विद्युत अपघट्य की मात्रा
पर निर्भर नहीं करता है । पर निर्भर करता है।
(iii) सेल में प्रयुक्त प्लेटों के (iii) सेल में प्रयुक्त प्लेटों के
आकार व उनके बीच की दूरी आकार व उनके बीच की दूरी
पर निर्भर नहीं करता। पर निर्भर करता है।
- किसी चालक के प्रतिरोध एवं विशिष्ट प्रतिरोध में तीन अंतर लिखिए।
उतर – प्रतिरोध विशिष्ट प्रतिरोध
(i) चालक का प्रतिरोध पदार्थ, ताप (i) केवल ताप और पदार्थ
लम्बाई, क्षेत्रफल पर निर्भर करता है। पर निर्भर करता है।
(ii) मात्रक ओम (ii) ओम-मीटर
(iii) R = V /I (iii) p = R.A/I
प्रश्न – सामर्थ्य 100 वॉट एवं 400 वॉट के दो बल्बों के प्रतिरोधों की तुलना कीजिए यदि इनकी वोल्टता समान है।

प्रश्न – किसी चालक तार की लम्बाई को मूल लम्बाई का आधा कर देने पर एवं अनुप्रस्थ काट क्षेत्रफल दोगुना करने पर प्रतिरोध कितना हो जायेगा।

प्रश्न – किसी उभयोत्तल लेंस के दो फलकों की वक्रता त्रिज्याएँ 10 cm तथा 15 cm है। उसकी फोकस दूरी 12 cm है। लेंस के काँच का उपवर्तनांक ज्ञात कीजिए।

प्रश्न – किसी उत्तल लेंस की वायु में फोकस दूरी 20 cm है। जल में इसकी फोकस दूरी क्या है? (वायु-जल का अपवर्तनांक 1.33 तथा वायु-काँच का अपवर्तनांक 1.5 है।)

प्रश्न – किसी सेल के विद्युत वाहक बल, विभवांतर व आंतरिक प्रतिरोध के बीच संबंध स्थापित कीजिए

- प्रकाश विद्युत प्रभाव के तीन प्रायोगिक प्रेक्षण लिखिए।
उतर – (1) प्रकाश विद्युत धारा (प्रकाशिक इलेक्ट्रानों की संख्या) आपतित विकिरण की तीव्रता के समानुपाती होती है।
(2) प्रकाशिक इलेक्ट्रानों की गतिज ऊर्जा आपतित विकिरण की आवृत्ति के अनुक्रमानुगाती होती है।
(3) प्रकाश विद्युत उत्सर्जन बिना किसी काल पश्यता के एक तात्क्षणिक प्रक्रिया है।
- फोटॉन की तीन विशेषताएँ लिखिए।
उतर – (1) प्रत्येक फोटॉन की ऊर्जा E = h होती है।
(2) फोटॉन विद्युत और चुंबकीय क्षेत्रों से विक्षेपित नहीं होते है।
(3) फोटॉन कण संघट्ट में कुल ऊर्जा व कुल संवेग संरक्षित रहते हैं।
(उपरोक्त के अतिरिक्त अन्य सही बिंदुओं पर भी अंक दिये जाए)
- निज अर्धचालक एवं बाह्य अर्धचालक में अंतर लिखिए।
उतर – निज अर्धचालक बाह्य अर्धचालक
(i) निज अर्धचालक शुद्ध (i) अर्धचालकों में डोपिंग की क्रिया द्वारा दूसरे
अर्धचालक होते हैं। तत्त्व मिलाये जाते हैं। इस लिये
अशुद्ध अर्धचालक होते हैं।
(ii) चालन बैंड में इलेक्ट्रान की (ii) N-Type में इलेक्ट्रानों की अधिकता एवं
संख्या संयोजकता बैंड में होलों की P-Type में होलों की अधिकता होती है।
संख्या के बराबर होते हैं। ne = nh
(iii) चालकता निम्न होती हैं। (iii) चालकता अधिक होती है।
(iv) Si, Ge (iv) Si, Ge में अर्सेनिक एन्टीमनी मिलाकर
बनते हैं।
प्रश्न – P-N संधि डायोड किसे कहते हैं? पूर्ण तरंग दिष्टकारी के रूप में इसके उपयोग को चित्र बताकर समझाइए।

जब प्रत्यावर्ती धारा के प्रथम चक्र में A उच्च विभव पर होता है। तो D1 अष्ट अभिनति में होने के कारण धारा प्रवाहित करता है जो RL पर निर्गत धारा प्राप्त होती है। इसी प्रकार जब A पर वोल्टता ऋणात्मक हो जाती है, तब B पर वोल्टता धनात्मक हो जाती तो, D2 डायोड अष्टअभिनति में कार्य करता है और घारा प्रवाहित करता है। इस प्रकार निवेशी ac के ऋणात्मक अर्ध चक्र में भी निर्गत धारा RL पर मिलती है। स्पष्टतया दिष्ट वोल्टता या धारा प्राप्त करने के लिये यह अर्ध तरंग दिष्टकारी से अधिक दक्ष परिपथ है। इस प्रकार प्राप्त दिष्टकृत वोल्टता अर्ध ज्यावक्रीय आकृति की होती है। यह एक दिशिक होती है, इसका मान स्थायी नहीं होता।
प्रश्न – स्वप्रेरकत्व किसे कहते हैं? एक परिनालिका के स्वप्रेरकत्व के लिये व्यंजक व्युत्पन्न कीजिए । इसके मान को प्रभावित करने वाले कारक लिखिए।
– स्वप्रेरकत्व किसी भी धारा प्रवाहित कुंडली के जडत्व की माप होता है। जो परिपथ में किसी भी धारा परिवर्तन का विरोध करता है ।
माना एक परिनालिका जिसकी लम्बाई = l
परिनालिका की त्रिज्या = r
परिनालिका में प्रवाहित धारा = I
हम जानते है-


- ट्रांसफॉमर किसे कहते हैं? इसके सिद्धांत एवं इसमें होने वाली ऊर्जा क्षय को समझाइए ।
उतर – ट्रांसफॉर्मर : AC वोल्टता को एक मान से दूसरे अधिक या कम मान में परिवर्तित करने की युक्ति को ट्रांसफॉर्मर कहते हैं। जिसमें उर्जा बिना क्षय किये हुए।
सिद्धांत



उर्जा क्षय :
(i) फ्लक्स क्षरण: खराब अभिकल्पन या सही वायु रिक्ति के कारक प्राथमिक कुंडली का समस्त फ्लक्स द्वितीयक कुंडली से नहीं गुजरता।
(ii) कुंडलनों का प्रतिरोध: तारों में उष्मा के कारण उर्जा क्षय होती है। (IPR)
(iii) भँवर धाराएँ: लौह – क्रोड में भँवर धाराएँ प्रेरित कर गर्म कर देता है।
(iv) शैथिल्य हानि: चुम्बकन बार-बार उत्क्रमित होता है। जो उर्जा क्रोड में उष्मा के रूप में प्रकट होती है।
प्रश्न – प्रिज्म के पदार्थ काँच के लिये अपवर्तनांक का सूत्र निगमित कीजिए


प्रश्न – पतले लेंस के लिये लेंस निर्माता सूत्र को निगमित कीजिए


आपके लिए यह भी उपयोगी हो सकता है –







