MP Board 2026 अर्थशास्त्र कक्षा 12 – कक्षा 12 वीं के आर्ट्स एवं कामर्स संकाय के स्टूडेंट्स के लिए अर्थशास्त्र ( Economics) एक महत्वपूर्ण विषय है क्योंकि इन दोनों ही संकाय के स्टूडेट्स के लिए अर्थशास्त्र ( Economics) न केवल एक कॉमन विषय है बल्कि अनेक राज्य बोर्ड् की परीक्षावों में अर्थशास्त्र ( Economics) विषय का एक ही कॉमन प्रश्न पत्र दोनों ही संकाय के स्टूडेंट्स को देना पड़ता है . इस पोस्ट में कक्षा 12 अर्थशास्त्र विषय के महत्वपूर्ण प्रश्न व् उत्तरों को प्रस्तुत किया गया हैं यह प्रश्न गत वर्षों की वार्षिक परीक्षावों में पूंछे गए हैं I Post के अंत में कक्षा 12 अर्थशास्त्र विषय की अपनी तैयारी self test के माध्यम से जांच भी सकते हैं I
Note – अंग्रेजी माध्यम के लिए देखें – https://mpboardenglishmedium.com/

अर्थशास्त्र कक्षा 12 – महत्वपूर्ण प्रश्न -उत्तर
- बाजार अर्थव्यवस्था किसे कहते हैं?
उतर- बाजार अर्थव्यवस्था में सभी आर्थिक क्रियाकलापों का निर्धारण बाजार की स्थितियों के अनुसार होता है।
- सकारात्मक आर्थिक विश्लेषण किसे कहते हैं?
उतर- सकारात्मक आर्थिक विश्लेषण के अंतर्गत, हम अध्ययन करते हैं कि विभिन्न क्रियाविधियाँ किस प्रकार कार्य करती हैं।
- लाभ किसे कहते हैं?
उतर- लागत और आगम के अंतर को लाभ कहते हैं ।
- औसत उत्पाद किसे कहते हैं?
उतर- औसत उत्पाद निर्गत की प्रति इकाई परिवर्ती आगत के रूप में परिभाषित किया जाता है ।
अर्थात् APL = TPL / L
- उच्चतम निर्धारित कीमत किसे कहते हैं?
उतर- किसी वस्तु अथवा सेवा की सरकार द्वारा निर्धारित कीमत की ऊपरी सीमा को उच्चतम निर्धारित कीमत कहते हैं ।
- ‘अदृश्य हाथ’ किसे कहते हैं?
उतर- जब भी बाजार में असंतुलन होता हैं, तो पूर्ण प्रतिस्पर्धी बाजार में एक ‘अदृश्य हाथ’ कीमतों में परिवर्तन कर संतुलन स्थापित करता है ।
- बाजार संतुलन कीमत किसे कहते हैं?
उतर- बाजार संतुलन :- बाजार माँग वक्र एवं बाजार पूर्ति वक्र प्रतिच्छेदन बिंदु को बाजार संतुलन कहते हैं ।
- श्रम का सीमांत संप्राप्ति उत्पाद किसे कहते हैं?
उतर- श्रम की प्रत्येक अतिरिक्त इकाई के लिए उसे जो अतिरिक्त लाभ प्राप्त होता है। इसे श्रम की सीमांत संप्राप्ति उत्पाद कहते हैं।
अथवा श्रम का सीमांत उत्पाद = सीमांत संप्राप्ति x श्रम का सीमांत उत्पाद
- उपभोग वस्तुएँ किसे कहते हैं?
उतर- वे वस्तुएँ सेवाओं का उपभोग उसी समय होता है, जब अंतिम उपभोक्ताओं के द्वारा उनको क्रय किया जाता है, इन्हें उपभोग वस्तुएँ कहते हैं ।
- पूंजीगत वस्तुएँ किसे कहते हैं?
उतर- वे वस्तुएँ, जो टिकाऊ प्रकृति की होती हैं और उत्पादन प्रक्रम में उनका उपयोग होता है, पूँजीगत वस्तुएँ कहलाती हैं। जैसे औजार, उपकरण और मशीन ।
- वैयक्तिक आय किसे कहते हैं?
उतर- परिवारों के द्वारा प्राप्त राष्ट्रीय आय के अंश के लिए अभिव्यक्ति प्राप्त करते हैं, इसे वैयक्तिक आय कहते हैं।
या
वैयक्तिक आय = राष्ट्रीय आय – अवितरित लाभ – परिवार द्वारा निवल ब्याज भुगतान – निगम कर + सरकार द्वारा फर्मों से परिवारों को अंतरण भुगतान ।
- निवल राष्ट्रीय उत्पाद किसे कहते हैं?
उतर- सकल राष्ट्रीय उत्पाद से मूल्य हास को घटाते हैं, तो हमें समस्त आय की जो माप प्राप्त होती है, निवल राष्ट्रीय उत्पाद कहते हैं।
- SLR किसे कहते हैं?
उतर- व्यावसायिक बैंकों को अल्पकाल में कुछ कोष तरल रूप में रखना अनिवार्य होता है। इसे SLR कहते हैं।
- उच्च शक्तिशाली मुद्रा क्या है?
उतर- केंन्द्रीय बैंक द्वारा निर्गमित करेंसी, जनता के पास हो सकती है अथवा व्यावसायिक बैंकों के पास, इसे ‘उच्च शक्तिशाली मुद्रा’ कहते हैं।
- उपभोग फलन किसे कहते हैं?
उतर- उपभोग फलन से आशय है, आय तथा उपभोग में संबंध की व्याख्या करता है ।
या C = Ċ + CY
- समग्र माँग के दो घटक लिखिए।
उतर- समग्र माँग के दो घटक :
- सरकारी उपभोग
- निजी उपभोग
- सरकारी निवेश
- निजी निवेश
- न्यून माँग के दो कारण लिखिए।
उतर- न्यून माँग के कारण (कोई 2 बिन्दु)
- सार्वजनिक व्यय में कमी
- निर्यात माँग में गिरावट
- निवेश में कमी
- उपभोग व्यय में गिरावट
- अध्याधिक माँग से क्या अभिप्राय है?
उतर- यदि आगत का रोजगार स्तर, पूर्ण रोजगार स्तर से अधिक है अर्थात् माँग, पूर्ण रोजगार पर उत्पादित उत्पादन स्तर से अधिक है। इसे अत्यधिक माँग की स्थिति कहते हैं ।
- प्रभावपूर्ण माँग क्या है?
उतर- समग्र माँग तथा समग्र पूर्ति के प्रतिच्छेदन बिन्दु को प्रभावपूर्ण माँग कहते हैं। इस बिन्दु पर पूर्ण रोजगार की स्थिति होती है।
- सेटेरिस पारिबस की मान्यता किसे कहते हैं?
उतर- किसी भी सैद्धांतिक अभ्यास का प्ररूपी रूढ़ीकरण होता है। जिसका अर्थ है यदि अन्य बातें समान रहें ।
- माँग का अर्थ लिखिये।
उतर- उपभोक्ता अपनी आय को उपयोगिता के अनुरूप खर्च करके जो वस्तुएँ बाजार से क्रय करता है, वह माँग कहलाती है।
- माँग की कीमत लोच का अर्थ लिखिये।
उतर- माँग की लोच कीमत के परिवर्तन से होनेवाला स्तर है। कीमत के कम होने से माँग में कितना % परिवर्तन आया यह ही अर्थशास्त्र में माँग की लोच कहलाता है।
- उत्पादन के कोई दो साधन लिखिये।
उतर- उत्पादन के पांच साधन हैं। भूमि, श्रम, पूँजी, संगठन, साहस।
(कोई दो साधन लिखने पर अंक प्रदान करें।)
- हासमान पैमाने का प्रतिफल का अर्थ लिखिये।
उतर- हासमान पैमाने का प्रतिफल तब होता है जब सभी आगतों के आनुपातिक वृद्धि की तुलना में निर्गतों में समानुपाति वृद्धि कम होती है।
- संप्राप्ति का अर्थ लिखिये।
उतर- एक फर्म अपने द्वारा उत्पादित बस्तु का बाजार में विक्रय करके संप्राप्ति अर्जित करती है।
- सामान्य लाभ का अर्थ लिखिये।
उतर- लाभ का न्यूनतम स्तर जो फर्म को व्यापार में बनाए रखने के लिए आवश्यक है, सामान्य लाभ कहलाता है।
- समष्टि अर्थशास्त्र का अर्थ लिखिये।
उतर- समष्टि अर्थशास्त्र में किसी अर्थव्यवस्था के समस्त आर्थिक परिवर्तों, विकासशील, विकसति, पूँजीवादी, निजी सभी का अध्ययन किया जाता है।
- आर्थिक एजेंट को समझाइये l
उतर- यह वह व्यक्ति एवं संस्थाएं हैं जो आर्थिक निर्णय लेते है। वह उपभोक्ता भी हो सकते हैं, उत्पादक भी हो सकते हैं, सरकार, निगम, बैंक भी हो सकते हैं।
- उपभोग वस्तुओं को समझाइये।
उतर- उपभोग वस्तुएं उपभोक्ता द्वारा क्रय की जानेवाली खाद्यान वस्तुएं जो जीवन यापन के लिए अत्यंत आवश्यक है। कपड़े, किताब-कापी, दबाई, मनोरंजन आदि।
- पूँजीगत वस्तुओं को समझाइये।
उतर- कार, ए.सी., कम्प्यूटर तथा अन्य टिकाऊ वस्तुएं पूँजीगत वस्तुएं कहलाती है।
- मुद्रा की माँग का अर्थ लिखिये।
उतर- मुद्रा की माँग साधारण जीवन यापन से लेकर अर्थव्यवस्था के सभी सोदों के लिए की 2 जाती है। बैंक जमाएं, नकद करेंसी तथा अन्य सारी आर्थिक गतिविधियां मुद्रा की माँग का निर्धारण करती है।
- मुद्रा की पूर्ति का अर्थ लिखिये।
उतर- मुद्रा की पूर्ति से आशय है, अर्थव्यवस्था से मुद्रा के चलन में नकदी, बैंक जमाएं, ऋण सुविधाएं अरिरिक्त कोषो के बीच मध्यस्थता आदि मुद्रा की पूर्ति को नियंत्रित करते हैं।
- विमुद्रीकरण को समझाइये।
उतर- अर्थव्यवस्था में भ्रष्टाचार, कालाधन, आतंकवाद को तथा जाली मुद्रा को रोकने के लिए 2 सरकार या तो नोट बंध कर देती है या उनके स्थान पर दूसरे नोट चला देती है या फिर ऑनलाईन तथा A.T.M. आदि का उपयोग करती है। जैसे 500, 1000 के स्थान पर 2000 का नोट चला जो अब वह भी बंद कर दिया।
- सट्टा उद्देश्य को समझाइये।
उतर- भू-संपत्ति, बहुमूल्य धातुओं, बंधपत्रों, मुद्रा का एकल कोटि बंधपत्र बनाकर जब सरकार वायदा पत्रों या साख पत्रो को चलन में लाती है, तो उसे सट्टा उद्देश्य कहते हैं। व्यापारिक सट्टा भी मुद्रा के नकद रूप को प्रभावित करता है।
- समग्र माँग क्या है?
उतर- अर्थव्यवस्था में पाई जानेवाली माँग को ही समग्र माँग कहा जाता है। उपयोग और निवेश में परिवर्तन का समग्र माँग पर अनुकूल प्रभाव पड़ता है तथा इसका संबंध वस्तु की कीमत से होता है।
- समग्र पूर्ति क्या है?
उतर- बाजार में पायी जाने वाली समस्त पूर्ति सारे उपभोक्ताओं की बाजार तालिकाएं मिलकर समग्र पूर्ति को निर्धारित करती है। निवेश, बचत तथा ब्याज की दर से समग्र पूर्ति प्रभावित होती है।
- सीमांत बचत प्रवृत्ति (MPS) का अर्थ लिखिये।
उतर- यह आय में प्रति इकाई परिवर्तन के फलस्वरूप बचत में परिवर्तन है। इसे S से संकेतीक किया जाता है और 1-C के बराबर होता है। इसका निहितार्थ है S+C=I
- औसत उपभोग प्रवृत्ति का अर्थ लिखिये।
उतर- यह प्रति इकाई उपभोग है। अर्थात् C/Y व्यक्ति की आय पर निर्भर करती है। खरीदने की क्षमता कीमत से निर्धारित होती है। इन सभी का अर्थव्यवस्था पर प्रभाव पड़ता है।
- सरकारी बजट का अर्थ लिखिये।
उतर- सरकार की अनुमानित प्राप्तियों तथा खर्चों का ब्यौरा जिसे ‘वार्षिक वित्तीय ब्यौरा’ भी कहते है। इसी को बजट कहते है। इसको संसद में पेश करना सरकार का संवैधानिक कर्तव्य है।
- राजस्व व्यय का अर्थ लिखिये।
उतर- राजस्व व्यय केन्द्र सरकार का भौतिक या वित्तीय परिसंपत्तियों के सृजन के अतिरिक्त अन्य उद्देश्यों के लिए किया गया व्यय है। इसका संबंध सरकारी विभागों के सामान्य कार्यों तथा विविध सेवाओं, ऋण ब्याज अदायगी, अनुदान से होता है।
- स्थापन्न वस्तुएं तथा पूरक वस्तुओं में अंतर लिखिए।
उतर- स्थानापन्न वस्तुएँ तथा पूरक वस्तुओं में अंतर-
- स्थानापन्न वस्तुएँ वे वस्तुएँ जिनका प्रयोग एक दूसरे के स्थान पर समान उद्देश्य की पूर्ति के लिए किया जाता है। जैसे चाय-कॉफी, शक्कर-गुड़ ।
- पूरक वस्तुएँ जिन वस्तुओं का साथ-साथ प्रयोग किया जाता है। जैसे चाय तथा चीनी, कलम तथा स्याही आदि ।
- किसी वस्तु की माँग को प्रभावित करने वाले कोई 3 कारक लिखिए।
उतर- किसी वस्तु की माँग को प्रभावित करने वाले कारक (कोई तीन बिन्दुओं की संक्षिप्त व्याख्या)
- वस्तु की कीमत
- उपभोक्ता की आय
- स्थानापन्न वस्तुओं की कीमतें
- भविष्य में मूल्य वृद्धि की आशा
- रुचि एवं फैशन
- जनसंख्या
- कुल उपयोगिता तथा सीमांत उपयोगिता में 3 संबंध लिखिए।
उतर- कुल उपयोगिता तथा सीमांत उपयोगिता में संबंध
- जब कुल उपयोगिता घटती हुई दर से बढ़ती है, तो सीमांत उपयोगिता घटती हैं।
- जब कुल उपयोगिता अधिकतम (स्थिर) हो जाती है, तो सीमांत उपयोगिता शून्य होती है।
- जब कुल उपयोगिता घटती है, तो सीमांत उपयोगिता ऋणात्मक हो जाती है ।
- पूर्णतया लोचदार मांग तथा पूर्णतया वेलोचदार मांग को संक्षेप में समझाइये।
उतर- पूर्णतया लोचदार माँग – पूर्णतया लोचदार माँग से आशय है, कि वस्तु की कीमत में आनुपातिक परिवर्तन बिल्कुल भी नहीं होता अथवा सूक्ष्म परिवर्तन होता है, जबकि माँगी गयी मात्रा में आनुपातिक परिवर्तन अत्याधिक होता है ।
पूर्णतया बेलोचदार माँग – पूर्णतया बेलोचदार माँग से आशय है कि माँगी गयी मात्रा में आनुपातिक परिवर्तन शून्य या सूक्ष्म होता है, जबकि वस्तु की कीमत में आनुपातिक परिवर्तन अत्याधिक होता है।
- निम्न तालिका में कुल संप्राप्ति, सीमांत संप्राप्ति तथा औसत संप्राप्ति का परिकलन कीजिए। वस्तु की प्रति इकाई बाजार कीमत 10 रूपये है।
| बेची गई मात्रा | कुल संप्राप्ति | सीमांत संप्राप्ति | औसत संप्राप्ति |
| 0 | |||
| 1 | |||
| 2 | |||
| 3 | |||
| 4 | |||
| 5 | |||
| 6 |
उतर- कुल संप्राप्ति, सीमांत संप्राप्ति तथा औसत संप्राप्ति का परिकलन-
| बेची गई मात्रा | कुल संप्राप्ति | सीमांत संप्राप्ति | औसत संप्राप्ति | |
| 0 | – | – | – | |
| 1 | 10 | 10 | 10 | |
| 2 | 20 | 10 | 10 | |
| 3 | 30 | 10 | 10 | |
| 4 | 40 | 10 | 10 | |
| 5 | 50 | 10 | 10 | |
| 6 | 60 | 10 | 10 | |
- लाभ अधिकतमीकरण की तीन शर्तें लिखिए।
उतर- लाभ के अधिकतमीकरण की शर्ते-
- कीमत p. सीमांत लागत के बराबर हो ।
- १० पर सीमांत लागत ह्रासमान नहीं हो ।
- फर्म को उत्पादन करते रहने के लिए अल्पकाल में, कीमत, औसत परिवर्तनशील लागत से अधिक हों (P> AVC) दीर्घकाल में कीमत, औसत लागत से अधिक हो (PAC)।
- भारतीय रिजर्व बैंक की किस भूमिका को ‘अंतिम ऋणदाता’ कहा जाता है?
उतर- भारतीय रिजर्व बैंक एक मात्र संस्था है, जो करेंसी निर्गमित कर सकती है। जब अधिक साख सृजन के लिए, व्यावसायिक बैंकों को अधिक कोषों की आवश्यकता होती है, वे इन कोषों को प्राप्त करने के लिए बाजार अथवा केन्द्रीय बैंक के पास जाते हैं। केन्द्रीय बैंक विभिन्न उपकरणों के द्वारा उनको कोष प्रदान करती है। RBI, हर समय बैंकों को कोष प्रदान करने के लिए तैयार रहने की भूमिका को अंतिम शरण ऋणदाता कहते हैं।
- मुद्रापूर्ति के नियंत्रण के तीन नीतिगत उपकरण लिखिए।
उतर- मुद्रा पूर्ति के नियंत्रण के तीन नीतिगत उपकरण-
- बैंक दर
- खुले बाजार की क्रियाएँ
- CRR एवं SLR
- RBI, व्यावसायिक बैंकों के साथ सहमति
- नैतिक दबाव
- सीमांत उत्पादन संभावना क्या है?
उतर- जिस प्रकार व्यक्तियों के पास संसाधनों का अभाव होता है, उसी तरह कुल मिलाकर 3 किसी अर्थव्यवस्था के संसाधन भी वहाँ रह रहे व्यक्तियों की आवश्यकता पूर्ति के लिए सर्वदा सीमित होते है। दुर्लभ संसाधनो के वैकल्पिक प्रयोग होते है। प्रत्येक संसाधन का कितनी मात्रा में उत्पादन किया जाए तथा विभिन्न वस्तुओं और सेवाओ के उत्पादन के लिए सही निर्णय लिया जाना ही सीमांत उत्पादन संभावना कहलाती है।
- सकारात्मक आर्थिक विश्लेषण से आपका क्या अभिप्राय है?
उतर- सकारात्मक आर्थिक विश्लेषण के अंतर्गत हम यह अध्ययन करते है कि विभिन्न क्रियाविधियों किस प्रकार कार्य करती है। अर्थव्यवस्था की केन्द्रीय समस्याओं को सुलझाने की विधियों का समाधान प्रस्तुत करना ही सकारात्मक आर्थिक विश्लेषण कहलाता है।
- बाजार संतुलन की व्याख्या कीजिये।
उतर- एक पूर्ण प्रतिस्पर्धी बाजार में संतुलन वहाँ होता है, जहाँ एक ऐसी स्थिति के रूप में परिभाषित किया जाता है। जहाँ सभी उपभोक्ताओं तथा फर्मों की योजनाएं सुमेलित हो जाती हैं और बाजार रिक्त हो जाता है।
- फर्मों की एक स्थिर संख्या के होने पर पूर्ण प्रतिस्पर्धी बाजार में कीमत का निर्धारण किस प्रकार होता है? व्याख्या कीजिए।
उतर- फर्मों की संख्या स्थिर होने पर संतुलन कीमत तथा मात्रा, बाजार मांग तथा बाजार पूर्ति वक्रो के परस्पर प्रति छेदन बिन्दु पर निर्धारित होती है। प्रत्येक फर्म श्रम का उपयोग उस बिन्दु तक करती है जहाँ श्रम की सीमांत संप्राप्ति उत्पाद मजदूरी दर के बराबर होता है।
- “प्रभावी माँग” क्या है?
उतर- अर्थव्यवस्था में अंतिम वस्तु के स्तर के निर्धारण के लिए अल्पकाल में समस्त मांग एक 3 नियत अंतिम वस्तु कीमत और नियत ब्याज की दर को तथा इस कीमत पर समस्त पूर्ति को पूर्णतः लोचदार मान लेते है। इन परिस्थितियों में समस्त निर्गत का निर्धारण केवल समस्त माँग के स्तर पर ही निर्धारित होता है। इसे ही प्रभावी माँग कहते हैं।
- ‘मितव्ययता के विरोधाभास’ की व्याख्या कीजिए।
उतर- यदि अर्थव्यवस्था के सभी लोग अपनी आय से बचत के अनुपात को बढ़ा दे तो अर्थव्यवस्था में बचत के कुल मूल्य में वृद्धि नहीं होगी। इससे बचत में या तो कमी आएगी या अपरिवर्तित रहेगी। इस परिणाम को मितव्ययता का विरोधाभास कहते हैं।
- खुली अर्थव्यवस्था स्वायत्त व्यय खर्च गुणक बंद अर्थव्यवस्था के गुणक की तुलना में छोटा क्यों होता है?
उतर- खुली अर्थव्यवस्था स्वायत्त व्यय खर्च गुणक बंद अर्थव्यवस्था गुणक से छोटा होता है। क्योंकि घरेलु माँग का एक हिस्सा विदेशी वस्तुओं के लिए होता है। अतः स्वायत्त माँग से वृद्धि से बंद अर्थव्यवस्था की तुलना में निर्गत के कम वृद्धि होती है। इसमें व्यापार शेष में भी गिरावट आती है।
- विनिमय दर के निर्धारण के कोई तीन बिंदु लिखिए।
उतर- विनिमय दर वैसे तो बाजार माँग और पूर्ति की शक्तियों द्वारा निर्धारित होती है। इसके तीन बिन्दु है।
(1) सट्टा बाजार
(2) ब्याज की दरें
(3) आय और विनिमय दर
- एक वस्तु की माँग पर विचार करें। 5 रूपये की कीमत पर इस वस्तु की 15 इकाइयों की माँग है। मान लीजिए वस्तु की कीमत बढ़कर 7 रूपये हो जाती है। कीमत लोच की गणना कीजिए।
उतर- हल
दिया है –
P1 = 5/- Q1 = 15 इकाइया
P2 = 5/- p2 = 12 इकाइया
कीमत लोच की गणना = ?
प्रश्नानुसार –

- माँग के नियम की सचित्र व्याख्या संक्षिप्त में कीजिएl
उतर- माँग का नियम ‘अन्य बातें समान रहने’ पर यदि वस्तु की कीमत में वृद्धि होती है, तो माँगी गयी मात्रा में कमी होती है और कीमत कम होने पर माँगी गई मात्रा में बढ़ोत्तरी होती है।

- एक फर्म का अल्पकालीन सीमांत लागतअनुसूची निम्नलिखित तालिका में दिया गया है। फर्म की कुल स्थिर लागत 100 रूपये है। फर्म के कुल परिवर्ती लागतं, कुल लागत तथा अल्पकालीन औसत लागत अनुसूची निकालिए।
| Q | सीमांत लागत |
| 0 | – |
| 1 | 500 |
| 2 | 300 |
| 3 | 200 |
| 4 | 300 |
| 5 | 500 |
| 6 | 800 |
उतर- फर्म के कुल परिबर्ती लागत(TVC) , कुल लागत(TC) तथा अल्पकालीन औसत(SAC) लागत अनुसूची-परिकलन –
| Q | सीमांत लागत | TFC | TVC | TC | SAC |
| 0 | – | 100 | – | 100 | 0 |
| 1 | 500 | 100 | 500 | 600 | 600 |
| 2 | 300 | 100 | 800 | 900 | 450 |
| 3 | 200 | 100 | 1000 | 1100 | 366.6 |
| 4 | 300 | 100 | 1300 | 1400 | 350 |
| 5 | 500 | 100 | 1800 | 1900 | 380 |
| 6 | 800 | 100 | 2600 | 2700 | 450 |
- कुल परिवर्ती लागत तथा कुल स्थिर लागत में 4 अंतर लिखिए।
उतर- कुल परिवर्ती लागत तथा कुल स्थिर लागत में अंतर (कोई 4)
कुल परिवर्ती लागत-
- कुल परिवर्ती आगतों या साधनों के प्रयोग करने के लिए वहन की जाती है।
- परिवर्ती लागत उत्पादन की मात्रा में परिवर्तन होने पर बदल जाती है।
- परिवर्ती लागतें उत्पादन की मात्रा शून्य होने पर शून्य हो जाती हैं।
- कुल लागत से स्थिर लागतें घटाने पर प्राप्त होती है।
- ये अल्प कालीन एवं दीर्घकालीन हैं ।
कुल स्थिर लागत –
- स्थिर आगतों या साधनों के प्रयोग करने के लिए वहन की जाती है।
- ये लागतें उत्पादन की मात्रा में परिवर्तन होने पर नहीं बदलती हैं ।
- ये लागतें शून्य नहीं होती हैं।
- कुल लागत से परिवर्तनशील लागतें घटाने पर प्राप्त होती हैं ।
- ये केवल अल्पकालीन हैं ।
- राजस्व व्यय एवं पूँजीगत व्यय में भेद कीजिए।
राजस्व व्यय एवं पूंजीगत व्यय-
- राजस्व व्यय राजस्व व्यय केन्द्र सरकार का भौतिक या वित्तीय परिसंपत्तियों के सृजन के अतिरिक्त अन्य उद्देश्यों के लिए किया गया व्यय है। राजस्व व्यय का संबंध सरकारी विभागों के सामान्य कार्यों तथा विविध सेवाओं, सरकार द्वारा उपगत ऋण ब्याज आदयगी, राज्य सरकारों और अन्य दलों को प्रदत्त अनुदानों आदि पर किये गए व्यय से होता है।
- पूँजीगत व्यय ये सरकार के व्यय हैं जिसके परिणामस्वरूप भौतिक या वित्तीय परिसंपत्तियों का सृजन या वित्तीय दायित्वों में कमी होती है। पूँजीगत व्यय के अंतर्गत भूमि अधिग्रहण, भवन निर्माण मशीनरी, उपकरण, शेयरों में निवेश और केन्द्र सरकार के द्वारा राज्य सरकारों एवं संघ शासित प्रदेशों, सार्वजनिक उपक्रमों तथा अन्य पक्षों को प्रदान किए गए ऋण और अग्रिम संबंधी व्यय को शामिल किया जाता है
- घाटे के बजट से क्या अभिप्राय है? इसके प्रकारों की संक्षिप्त व्याख्या कीजिए।
उतर- जब सरकार द्वारा प्राप्तियों से व्यय अधिक होता है, तो इस स्थिति को घाटे का बजट या बजटीय घाटा कहते हैं।
घाटे के प्रकार निम्नांकित हैं
- राजस्व घाटा
- राजकोषीय घाटा
- प्राथमिक घाटा
[ऊपर दिये गये बिन्दुओं की संक्षिप्त व्याख्या]
- व्यापार संतुलन एवं भुगतान संतुलन में 4 अंतर लिखिए।
उतर- व्यापार संतुलन एवं भुगतान संतुलन में अंतर-
व्यापार संतुलन.
- व्यापार संतुलन आयात एवं निर्यात का विस्तृत विवरण है ।
- इसके अंतर्गत दृश्य एवं अदृश्य दोनों प्रकार की मदें आती हैं।
- व्यापार संतुलन अनुकूल व प्रतिकूल हो सकता है।
- व्यापार संतुलन, भुगतान संतुलन का अंग है।
भुगतान संतुलन –
- भुगतान संतुलन में आयात-निर्यात के साथ सेवाएँ, पूँजी व स्वर्ण का भी विवरण होता है।
- इसके अंतर्गत केवल दृश्य मदें आती हैं।
- भुगतान संतुलन सदैव अनुकूल होना चाहिए ।
- भुगतान संतुलन विस्तृत अवधारणा है
- स्थिर विनिमय दर के दो गुण एवं दो दोष संक्षिप्त में लिखिए l
उतर- स्थिर विनिमय दर के गुण-
- विश्वसनीयता
- विदेशी पूँजी को प्रोत्साहन
- स्थायित्वता
- विदेशी मुद्रा भंडार नहीं रखना पड़ता
दोष :-
- विनिमय दर की स्थिरता कठिन
- स्वतंत्र पूँजी पर प्रतिबंध
- आर्थिक विकास में बाधक
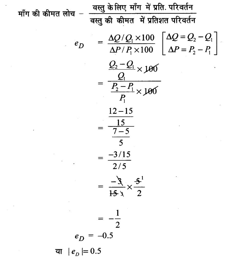
- एक वस्तु की माँग पर विचार करें। 4 रुपये की कीमत पर इस वस्तु की 25 इकाइयों की माँग है। मान लीजिए वस्तु की कीमत बढ़कर 5 रुपये हो जाती है तथा परिणामस्वरूप वस्तु की माँग घटकर 20 इकाइयां हो जाती है। कीमत लोच की गणना कीजिये।
उतर-

- एक ऐसे बाज़ार को लीजिए, जहाँ केवल दो उपभोक्ता हैं तथा मान लीजिए वस्तु के लिए उनकी माँग इस प्रकार हैं।
| P | d1 | d2 |
| 1 | 9 | 24 |
| 2 | 8 | 20 |
| 3 | 7 | 18 |
| 4 | 6 | 16 |
| 5 | 5 | 14 |
| 6 | 4 | 12 |
वस्तु के लिए बाजार माँग की गणना कीजिए।
उतर-
| P | d1 | d2 | d1+ d2 |
| 1 | 9 | 24 | 33 |
| 2 | 8 | 20 | 28 |
| 3 | 7 | 18 | 25 |
| 4 | 6 | 16 | 22 |
| 5 | 5 | 14 | 19 |
| 6 | 4 | 12 | 16 |
- मान लीजिए एक फर्म का उत्पादन फलन है
Q=5L1/2 K2 1/2
निकालिए अधिकत्तम संभावित निर्गत जिसका उत्पादन फर्म कर सकती है 100 इकाइयाँ
L तथा 100 इकाइयाँ K द्वारा।

- मान लीजिए एक फर्म का उत्पादन फलन है
Q=2L2K2
अधिकतम संभावित निर्गत ज्ञात कीजिए, जिसका फर्म उत्पादन कर सकती है, 5 इकाइयाँ L तथा 2 इकाइयों K द्वारा। अधिकतम संभावित निर्गत क्या है, जिसका फर्म उत्पादन कर सकती है शून्य इकाई L तथा 10 इकाई K द्वारा।
उतर-

- किसी फर्म के पूर्ति वक्र को निर्धारित करने वाले किन्हीं चार तत्वों का वर्णन कीजिए।
उतर- पूर्ति वक्र को निर्धारित करने वाले चार तत्व है:
(1) प्रौद्योगिकीय प्रगति
(2) आगम कीमतें
(3) वस्तु की माँग
(4) उत्पादन के साधनो की उपलब्धि
- लाभ अधिकतमीकरण किसे कहते हैं? इसकी तीन शर्तों को लिखिए।
उतर- कुल संप्राप्ति तथा कुल लागत के बीच अधिकतम अंतर को लाभ अधिकतमीकरण कहते हैं। तीन शर्ते हैं।
- कीमत P, सीमांत लागत के बराबर हो।
(2) १० पर सीमांत लागत हासमान नहीं हो।
(3) फर्म को उत्पादन करते रहने के लिए अल्पकाल में कीमत औसत परिवर्तनीय लागत से अधिक हो।
- मुद्रा के किन्हीं चार कार्यों को लिखिए।
उतर- मुद्रा के चार कार्य निम्नलिखित हैं-
(1) विनिमय का माध्यम
(2) मूल्य का मापन
(3) मूल्य संचय का आधार
(4) क्रय शक्ति का हस्तांतरण
- भारतीय रिजर्व बैंक की मौद्रिक नीति के कौन-कौन से उपकरण हैं?
उतर- RBI के मौद्रिक नीति के उपकरण निम्न हैं-
(1) बैंक दर नीति
(2) खुले बाजार की क्रियाएँ
(3) नकद कोष अनुपात
(4) नैतिक दबाव।
आपके लिए यह भी उपयोगी हो सकता है-







